Binomul Lui Newton Formula
Binomul Lui Newton Formula
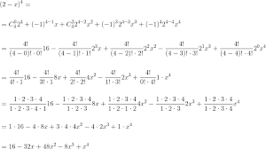
În algebra elementară, binomul lui newton este denumirea formulei pentru ridicarea la o anumită putere cu exponent natural a unui binom: Binomul lui newton are formula (a+b)n = c on a n + c1n a n −1 b + c 2n a n − 2 b 2 +…+ să se dezvolte după formula lui newton următoarele binoame
Iata cateva CV-uri de cuvinte cheie pentru a va ajuta sa gasiti cautarea, proprietarul drepturilor de autor este proprietarul original, acest blog nu detine drepturile de autor ale acestei imagini sau postari, dar acest blog rezuma o selectie de cuvinte cheie pe care le cautati din unele bloguri de incredere si bine sper ca acest lucru te va ajuta foarte mult
Termenul general din dezvoltarea binomială este: Astfel, in locul formulei, elevul a extins paranteza. Binomul lui newton este denumirea formulei pentru ridicarea la o anumită putere naturală a unui binom
Binomul lui newton test de evaluare pentru binomul lui newton.
Functia exponentiala si functia logaritmica. Să cunoască şi să aplice formula termenului general din dezvoltarea binomului lui newton; Se numeşte termenul general al dezvoltării • k+1=se numeste.
Numerele se numesc coeficienți binominali. Specifications regarding newton's formula ( continuation). Pentru orice număr natural , cu , are loc următoarea egalitate:
Practic, utilizatorul programului de pregatire matematicon parcurge din aproape in aproape un drum clar, asfel incat, sa fie ghidat permanent in evolutia lui si sa se evite situatia de frustrare si abandonul.
Scriind formula termenului general al dezvoltarii binomului lui newton gasim ca: • alături de leibniz este inventatorul calculului diferenţial şi integral.cei doi titani ai ştiinţei au ajuns în. Binomul lui newton este formula care furnizează dezvoltarea puterii unui binom:
Functia exponentiala si functia logaritmica. Termenul general este vom stabili n continuare alte cteva formule combinatorii importante c. Acestea se pot scrie astfel.
Formula binomului lui newton este:
Să cunoască şi să aplice formula termenului general din dezvoltarea binomului lui newton; T =c n a b , k ∈. Specifications regarding newton's formula ( continuation).

Posting Komentar untuk "Binomul Lui Newton Formula"