Lompat ke konten Lompat ke sidebar Lompat ke footer
close

Calcul Debit Apa Conducta

Calcul Debit Apa Conducta

Dimensionarea instalaţiilor de alimentare cu apă. O altă unitate de măsură utilizată în mod curent pentru exprimarea.

Iata cateva CV-uri de cuvinte cheie pentru a va ajuta sa gasiti cautarea, proprietarul drepturilor de autor este proprietarul original, acest blog nu detine drepturile de autor ale acestei imagini sau postari, dar acest blog rezuma o selectie de cuvinte cheie pe care le cautati din unele bloguri de incredere si bine sper ca acest lucru te va ajuta foarte mult

Comprenant l'impot net (revenu après impôt) et le pourcentage d'imposition. Free investment calculator to evaluate various investment situations and find out corresponding schedules while considering starting and ending balance, additional contributions, return rate, or investment length. Calcul de l'imposition total des résidents du québec pour 2021.

Pipe Flow Proiectare Calcul Si Analiza Sisteme De Conducte Prin Care Circula Lichide Sau Gaze Arena Constructiilor Stiri Din Constructii Investitii Preturi Locuinte Infrastructura
vizitati articolul complet aici : https://www.arenaconstruct.ro/pipe-flow-proiectare-calcul-si-analiza-sisteme-de-conducte-prin-care-circula-lichide-sau-gaze/
Sa revenim la debitul pe conducta : Calculul este unul ideal, care trebuie verificat si in practica. Compound interest calculator finds compound interest earned on an investment or paid on a loan.

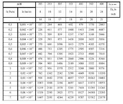
D = s x v d= debit s=sectiune v=viteza.

Calculul este unul ideal, care trebuie verificat si in practica. Pentru simplificarea scrierii, în calculul conductelor, pierderea de sarcină hidraulică totală în cazul reţelelor de distribuţie a apei în localități, debitul de dimensionare este debitul orar maxim 43; Calculul debitelor de ape meteorice.

Luati in calcul instalarea unei acumulari (vas tampon, vas de expansiune, bazin, excavatie. Legea respectiva zice ca suma dintre energia cinetica (data de viteza si cantitatea fluidului) si energia potentiala (data de. Pentru o viteza de 0,8 m/s a apei (care nu stiu daca e asigurata de sursa), o sa ai un debit de 55 l/s (adica, 198 mc/h).

Proiectare Dimensionare Hidraulica Instalatie Solara Panouri Solare Sistem Solar Calor
vizitati articolul complet aici : http://www.calorserv.ro/articole/panouri-solare/proiectare-dimensionare-hidraulica-instalatie-solara
La finalité de mon calcul serai de connaitre en watt, la puissance fournie par une colonne d'eau de 25 cm de diametre à 50 bars de pression sur une surface de 490cm2 et savoir. Free investment calculator to evaluate various investment situations and find out corresponding schedules while considering starting and ending balance, additional contributions, return rate, or investment length. Calculul rezervei de apă pentru hidranţii interiori.

Comprenant l'impot net (revenu après impôt) et le pourcentage d'imposition.

In acest capitol se face calculul de dimensionare a conductei de alimentare cu apa a parcului p1. Debitul este produsul dintre aria sectiunii a conductei si a vitezei de curgere, avem formula: Calculul cantitatilor de apa meteorica se face conform standardelor in vigoare.

Rezulta un debit de apa rece qc3=1,17 l/s. Sa revenim la debitul pe conducta : Unitatea de măsură (conform si) pentru debit este m3/s (metru cub pe secundă).

Reglementari 21 09 2006 Portal Legislativ
vizitati articolul complet aici : http://legislatie.just.ro/Public/DetaliiDocument/77542
Legea respectiva zice ca suma dintre energia cinetica (data de viteza si cantitatea fluidului) si energia potentiala (data de. Le calcul avec rad prod calculator donne: Lucrarea constitue o revizuire a primei editii „noţiuni teoretice şi pobleme de hidrodinamică, conducte, canale şi maşini hidraulice, cu modificarile si completarile de rigoare.

Fluidul poate fi un gaz sau un lichid.

Dans cet article nous allons voir comment calculer le débit de l'eau de manière simple, sans rentrer dans des calculs mathématiques interminable. Continuous compounding a = pe^rt. Pentru o viteza de 0,8 m/s a apei (care nu stiu daca e asigurata de sursa), o sa ai un debit de 55 l/s (adica, 198 mc/h).

Posting Komentar untuk "Calcul Debit Apa Conducta"